
Într-o Românie care se vrea europeană, o contradicție flagrantă pătează prestigiul învățământului superior. Universitatea Româno-Americană (URA), o instituție care se declară prin nume și statut ca fiind pro-occidentală, a acceptat la vârful ierarhiei sale profesori a căror carieră a fost cimentată în cel mai dur nucleu al regimului lui Nicolae Ceaușescu.
Arhitecții sistemului: Datele exacte ale carierelor sub regimul Ceaușescu
Pentru a înțelege profunzimea problemei, trebuie privite datele exacte ale activității celor doi înainte de 1989. Aceștia nu au fost simpli spectatori, ci piloni activi ai sistemului de ordine publică comunist.
Florian Coman – Ascensiunea în Ministerul de Interne al R.S.R.
Fostul decan al Facultății de Drept de la URA și-a petrecut cele mai prolifice decenii sub dictatură:
1973 – 1976: Urmează cursurile Școlii Militare de Ofițeri Activi a Ministerului de Interne de la Băneasa, locul unde se formau cadrele de încredere ale regimului.
1976 – 1985: Activează ca ofițer operativ în cadrul structurilor Miliției. În această perioadă, parcurge ierarhia militară sub supravegherea directă a partidului.
1985 – 1989: Devine instructor și lector în unitățile de învățământ ale Ministerului de Interne, pregătind noile generații de milițieni în spiritul „legalității socialiste”. La Revoluție, era deja un cadru consolidat, cu gradul de maior.
Gheorghe Popa – 34 de ani în slujba „ordinii” comuniste
Cariera sa este un record de longevitate în structurile de forță, începând mult înainte de căderea zidului Berlinului:
Anii ’70 – ’80: Își începe activitatea în structurile Ministerului de Interne, activând în unități ale Miliției care aveau rolul de a controla strict disciplina socială.
Activitatea sub Ceaușescu: În perioada cea mai neagră a regimului (anii ’80), Popa era integrat total în sistemul de „siguranță și ordine”, acumulând experiența care, după 1989, i-a permis să acceadă la șefia Poliției Române.
Paradoxul URA: Fațadă occidentală pentru mentalități de „Miliție”
Acceptarea acestor personaje într-o universitate care simulează modernismul este o trădare a valorilor democratice. Cum poate o instituție care promovează valorile americane să fie condusă, la nivel de facultate, de un om (Coman) care a servit activ brațul înarmat al lui Ceaușescu? Aceste „suflete comuniste” par să fi păstrat ura față de oricine reprezintă spiritul liber și anticomunist.
Răzbunarea sistemului împotriva lui Andrei Plop
Dovada că acești oameni nu și-au schimbat mentalitatea este cazul lui Andrei Plop. Student la Drept la URA între 2012 și 2016, Andrei reprezenta tot ceea ce foștii ofițeri detestă: spiritul anticomunist activ.
În 2009, Andrei a fost victima regimului comunist din Republica Moldova, fiind anchetat într-un dosar penal pentru participarea la revolta de pe 7 aprilie. Ajuns la București, sperând în echitate, s-a izbit de aceeași barieră. Deși a trecut examene complexe, parcursul său a fost blocat suspect la materia Criminalistică 2, predată de Gheorghe Popa.
„Am fost de trei ori la acest examen și de trei ori am fost respins de profesorul Popa. Este clar că pentru acești oameni, un student care a înfruntat comuniștii în stradă este un inamic care trebuie oprit cu orice preț”, declară Andrei Plop.
Concluzie: Moștenirea nerezolvată a lui Ceaușescu
Cazul lui Popa și Coman demonstrează că, în lipsa unei lustrații reale, vechile structuri nu au dispărut, ci s-au refugiat în mediul universitar privat. Prin acceptarea acestor profesori care în suflet au rămas fideli metodelor de dinainte de 1989, Universitatea Româno-Americană demonstrează că, în spatele poleielii occidentale, se ascunde încă umbra lui Ceaușescu, gata să sancționeze orice urmă de opoziție anticomunistă!
Epilog: O lansare de carte sub semnul rușinii
Ca o ironie supremă și o dovadă a faptului că sistemul se protejează și se celebrează reciproc, chiar ieri a avut loc lansarea cărții lui Gheorghe Popa, un eveniment transformat într-o paradă a ipocriziei academice. La acest eveniment au participat, validând prin prezența lor parcursul controversat al autorului, însuși Rectorul Universității Româno-Americane, Costel Negricea, și Decana Facultății de Drept, Mihaela Prună.
Prezența lor la o astfel de „deschidere” este o palmă pe obrazul oricărui student care crede în valorile occidentale și în justiție. Să girezi, ca rector și decan al unei facultăți de drept, un om cu un trecut adânc înrădăcinat în structurile Miliției lui Ceaușescu este o dovadă de complicitate morală și de dispreț față de victimele comunismului.
Domnule Negricea, Doamnă Prună, ar trebui să vă fie rușine! Într-o societate normală, bazată pe integritate, o astfel de participare ar fi fost de neconceput. Gestul dumneavoastră arată că Universitatea Româno-Americană este doar o fațadă pro-occidentală pentru o mentalitate de partid neschimbată. Pentru această trădare a misiunii academice, singurul gest onorabil care vă rămâne este să vă prezentați demisia. În special dumneavoastră, Decana Mihaela Prună, care ar trebui să fiți garantul echității și al valorilor democratice în formarea viitorilor juriști, nu complicea unui fost „milițian”.

sursa foto facebook.com
Andrei Plop:
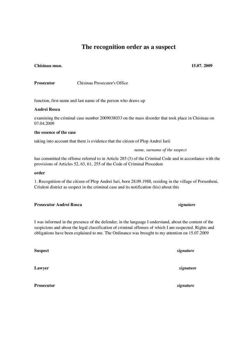
Mi-a fost deschis un dosar penal pentru faptul că am participat la evenimentele din 7 aprilie 2009 — o luptă pentru democrație. Acest dosar a fost inițiat de regimul comunist.
Am adăugat și imagini în care sunt citat la procuratură, unde mi s-a adus la cunoștință deschiderea dosarului penal. Pentru prietenii de peste hotare, am inclus și traducerea în limba engleză a acestor materiale.
Evenimentele din aprilie 2009 au reprezentat o revoltă a tinerilor și a societății împotriva regimului comunist din Republica Moldova. Oamenii au ieșit în stradă pentru a-și apăra votul, libertatea și viitorul democratic al țării. Acea zi a rămas un simbol al curajului și al dorinței de schimbare.
—
A criminal case was opened against me for participating in the events of April 7, 2009 — a fight for democracy. This case was initiated by the communist regime.
I have also added images showing that I was summoned to the prosecutor’s office, where I was officially informed about the opening of the criminal case. For my friends abroad, I have included English translations of these materials.
The events of April 2009 represented a protest of young people and society against the communist regime in the Republic of Moldova. People took to the streets to defend their vote, their freedom, and the country’s democratic future. That day remains a symbol of courage and the desire for change.


